Probablemente has observado que un automóvil se detiene cuando el conductor presiona un pedal, o cómo una máquina retroexcavadora puede levantar gran cantidad de piedras y material, o cómo una gata hidráulica puede facilitar el cambio de un neumático desinflado. En realidad, lo más probable es que te estés preguntando cómo frena el automóvil, o cómo la gata o la retroexcavadora puede levantar grandes masas.

Figura 1. Representación de la transmisión de fuerzas en sólido.
Todos estos casos utilizan sistemas hidráulicos para funcionar, que se basan en la propiedad muy interesante de los sólidos y líquidos: la de poder transmitir una presión.
Cuando aplicamos una presión sobre los cuerpos, estos responderán dependiendo si son un sólido rígido, elástico o un fluido. Un sólido trasmitirá la presión, tal como se observa en la figura 1, pero ¿qué sucede en un líquido?
Imagina que tienes una jeringa conectada a una esfera perforada pero con tapones, llena de agua, si presionas el émbolo de la jeringa el agua saldrá tal como lo ilustra la figura 2 y se detalla en la figura 3.

Figura 2. Representación de la transmisión de fuerzas en un líquido.

Figura 3. Principio de Pascal para un líquido.
En otras palabras, un fluido transmite en todas las direcciones la presión que se ejerce sobre él.
El principio de Pascal afirma que si se aplica una presión externa a un fluido confinado, la presión en todo punto del fluido aumenta por dicha cantidad. Sin embargo si te detienes a pensar un momento, de la ecuación fundamental de la hidrostática
, se puede deducir que si se aumenta de algún modo la presión
, la presión
en cualquier punto también aumenta en la misma cantidad, es decir, el principio de Pascal es una consecuencia de la ecuación fundamental de la hidrostática.
Esto es lo que vas a aprender
Ejemplos de la aplicación del principio de Pascal
1. Efecto de la atmósfera sobre los líquidos
Un ejemplo de aplicación del principio de Pascal es el siguiente: la atmósfera de la Tierra ejerce una presión sobre todos los objetos con los que está en contacto, incluso con otros fluidos. La presión externa que actúa sobre un fluido se transmite a través de él. Por ejemplo, de acuerdo con la ecuación
, la presión que ejerce el agua a una profundidad de
debajo de la superficie de un lago es:

sin embargo, la presión total en este punto, se debe a la presión del agua más la presión del aire sobre ella. En consecuencia, si el lago está cerca del nivel del mar, la presión total es: 
2. La prensa hidráulica
En la práctica, la ventaja que presentan los líquidos debido a su baja compresibilidad, es que al transmitir presiones, pueden multiplicar las fuerzas, aumentando el área sobre la cual se ejerce, como se observa en la figura 4.

Figura 4 ¿Por qué las presiones en los dos émbolos son iguales?
Esto se puede explicar, con ayuda de la figura 5, de la siguiente forma:

Figura 5. ¿Puede la prensa Hidráulica cambiar la cantidad de trabajo realizado?
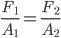
Un pistón de área
, al cual se le aplica una fuerza
, produce una presión
que se trasmite a todos los puntos del líquido y, en particular, a un pistón más ancho de área
, situado a la misma altura. Dado que la presión es la misma, se tiene:

de donde se deduce que la fuerza se multiplica por la razón de las áreas de los pistones. Pero, ¿qué sucede con el trabajo mecánico?
La máquina no puede cambiar la cantidad de trabajo que hay que realizar para mover el pistón. El volumen desplazado es contante
de esto se deduce que
, y si calculas el trabajo, se obtiene:

es decir, la energía se conserva.
3. Frenos hidráulicos
Una de las aplicaciones tecnológicas del principio de Pascal es el sistema de frenos hidráulicos: con pequeñas fuerzas logramos detener vehículos muy pesados.
Cuando un conductor pisa el pedal del freno, la presión en el cilindro maestro, aumenta. Este aumento de presión ocurre a través del líquido de frenos, que entonces empuja las balatas contra del tambor de freno unido a la rueda del automóvil.
Blaise Pascal ( 1623-1662)
El científico francés descubrió que un cambio en la presión aplicada a un líquido encerrado se transmite, sin disminución, a cada punto del líquido y a las paredes del recipiente que lo contiene. Esto sucede ya que los líquidos son incompresibles, por lo que al aplicarles presión y no poder disminuir su volumen, la transmiten en todas las direcciones perpendiculares a las paredes del recipiente que los contiene.

En este caso, una pequeña fuerza
aplicada a un pequeño pistón de área
causa un incremento de la presión en el fluido. De acuerdo con el principio de Pascal, este incremento se transmite a un pistón mayor de área
ejerciendo una fuerza
sobre este pistón. Entonces:


de donde resulta que:

Esta ecuación demuestra que la fuerza
es mayor que la fuerza
en un factor igual al cociente de las áreas de los dos pistones.
Notese que las presiones en ambos pistones son esencialmente las mismas y que, como consecuencia de ello, al ser distintas sus áreas también lo son las fuerzas, resultando la razón entre sus magnitudes igual a la razón entre sus áreas.
